MusicaInfo
Visite nuestros asociados:
Musicainfo Linkedin - hacer clic aquí
Página principal | Buscar | Cesta | Mi cuenta | Mi radio | Blog | Registrarse | Conectarse Deutsch|English|Français|Italiano|Nederlands
 Base de datos
Partituras
CDs/DVDs
Libros
Accesorios
Subcategorías
Compositores/colaboradores
Editoriales de música
Distribuidores asociados
Abreviaturas
Blog
Radio
Búsqueda rápida:
 Información
¿Quiénes somos?
Contactarnos
Visite nuestros asociados:
Musicainfo Facebook - hacer clic aquí
PartiturasPartituras
Dance Movements - hacer clic para una imagen más grande
hacer clic para una imagen más grande
Dance Movements - Muestra de música
Muestra de música
Título Dance Movements
Artículo no. 9142001
Categoría Banda sinfónica/brass band
Subcategoría Música de sopro contemporâ (1945 até à atualidade)
Instrumentación/orquestación Ha (banda de música)
Formato PrtStm (partitura y piezas)
País de edición Reino Unido (uk)
Editorial * Los campos que lleven una estrella (*) son accesibles solamente a los Socios del Club después de Registrarsehacer clic aquí
Artículo no. de la editorial * Los campos que lleven una estrella (*) son accesibles solamente a los Socios del Club después de Registrarsehacer clic aquí
Título de serie Prestige Series
Fecha de publicación 1997
Precio Por favor regístrese para ver el precio.hacer clic aquí
Compositor Sparke, Philip
Nivel de dificultad 6
Nivel de evaluación de países A5 (Nivel E (Austria)); C5 (Clase alta (Suiza)); D6 (Einstufung Deutschland Höchstklasse)
Duración 19:40
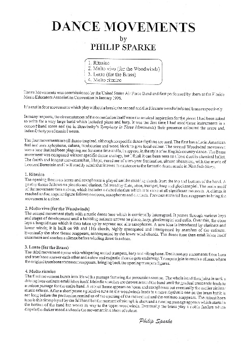
Otros detalles/contenidos "Dance Movements" fue encargado por la Banda de la Fuerza Aérea de los Estados Unidos y se presentó por primera vez en febrero de 1996. Un tour-de-force para una gran banda, la obra es en cuatro movimientos continuos que tienen como base los ritmos y estados de ánimo de la danza. El segundo movimiento presenta los vientos de madera y el tercero es para los metales. Ganador del prestigioso "Sudler Award" por nueva música para banda de vientos en 1997.
No. Título Duración Muestra de audición
1 Ritmico 3:21 hacer clic aquí
2 Molto vivo (for woodwinds) 4:47 hacer clic aquí
3 Lento (for brass) 4:13 hacer clic aquí
4 Molto ritmico 6:59 hacer clic aquí
Muestra de música Muestra de música hacer clic aquí
Partitura de muestra * Partitura de muestraLos campos que lleven una estrella (*) son accesibles solamente a los Socios del Club después de Registrarsehacer clic aquí
Muestra de grabación * Partitura de muestraLos campos que lleven una estrella (*) son accesibles solamente a los Socios del Club después de Registrarsehacer clic aquí
Vídeo de ejemplo * Vídeo de ejemploLos campos que lleven una estrella (*) son accesibles solamente a los Socios del Club después de Registrarsehacer clic aquí
Escuchar en Musicainfo Radio * Musicainfo RadioLos campos que lleven una estrella (*) son accesibles solamente a los Socios del Club después de Registrarsehacer clic aquí
Disponible sí
ergänzender Text * texto adicionalLos campos que lleven una estrella (*) son accesibles solamente a los Socios del Club después de Registrarsehacer clic aquí
Formato
Dance Movements - hacer clic aquí Dance Movements (banda de música), partitura y piezas
Dance Movements - hacer clic aquí Dance Movements (banda de música), partitura
2003 Midwest Clinic: Birmingham Symphonic Winds - hacer clic aquí 2003 Midwest Clinic: Birmingham Symphonic Winds, Audio-CD
American Winds - hacer clic aquí American Winds, Audio-CD
Great British Music for Wind Band #5: Venetian Spells - hacer clic aquí Great British Music for Wind Band #5: Venetian Spells, Audio-CD
Jubiläums-CD - hacer clic aquí Jubiläums-CD, 2 Audio-CDs  agotado   Remanente disponible 
Wind Dances - hacer clic aquí Wind Dances, Audio-CD

cesta Para pedir este artículo por favor conectarse (clickear aquí).


Volver a buscar con los últimos criterios

Volver a la última lista de resultados.

* Los campos que lleven una estrella son accesibles solamente a los Socios del Club después de Registrarse.

Hace falta el programa gratuito Adobe Reader para ver a las partituras de muestra. Se lo puede descargar al hacer clic en el enlace que se encuentra a continuación.

Acrobat Reader

Hace falta un programa para escuchar a los ficheros MP3, lo cual se puede descargar gratis. Hacer clic en uno de los enlaces que se encuentran a continuación.

Vd. no ha entrado en el sistema: Registrarse o Conectarse
Visite nuestros asociados:
Musicainfo Facebook - hacer clic aquí
Nuestras banderas | Para editoriales/distribuidores | Newsletter
Colección de datos Copyright 1983-2019 Helmut Schwaiger. Diseño de base de datos y sitio web Copyright 2002-19 Robbin D. Knapp.